Childs studying in the kitchen while his mother is cooking with LPG
Health Effects from Liquid and Gaseous Fuels Database
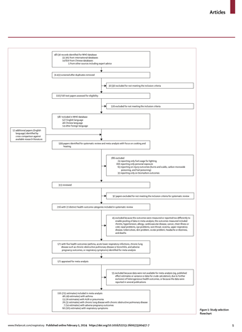
In order to assess the impact of household use of liquid and gaseous fuels for cooking, heating, and lighting, WHO and colleagues conducted a systematic review of the health effects from use of these cooking fuels. As part of the review, a database was produced containing all studies identified in the review (587 studies) that investigated the health effects of liquid and gaseous fuels for household cooking, heating, and lighting across low-, middle- and high-income countries.
This database was developed through a systematic review of scientific literature and includes a full range of liquid and gaseous fuels used for household energy and associated air pollutants and potential health effects (including symptoms and diagnoses from exposure to household air pollution and burns and poisoning from use of the fuels). The database contains studies conducted between 1980 and 2020, with searches conducted in January 2021. The review protocol was registered with PROSPERO (CRD42021227092).
The included studies in the database are detailed by:
- study characteristics (year, geographical location, study design etc.),
- liquid or gaseous fuel(s) investigated (including natural gas, liquefied petroleum gas (LPG), biogas, alcohol fuels, kerosene, diesel, gasoline among others),
- type of energy use (cooking, heating, lighting, or a combination of those)
- methods of outcome reporting (self-reported, hospital record, physician diagnosed etc.)
- type of outcomes assessed, including both pollutant emissions (such as including particulate matter, carbon monoxide, nitrogen oxides) and/or health outcomes (both symptoms, biomarkers and/or disease and injury outcomes).
Related pages
References

Health effects of liquid and gaseous fuels for household energy use: systematic evidence mapping
Exposure to household air pollution results in a substantial global health burden. The World Health Organization (WHO) Guidelines for Indoor Air Quality:...

Estimated health effects from domestic use of gaseous fuels for cooking and heating in high-income, middle-income,...
Exposure to household air pollution from polluting domestic fuel (solid fuel and kerosene) represents a substantial global public health burden and there...
Contact
To enable regular updates to this database, the authors urge readers who are aware of additional studies that could be considered for inclusion in the database to contact: householdenergy@who.int
Related factsheet
Related health topic
Related toolkit
Contact
For general inquiries: aqh_who@who.int
Regarding clean and polluting household energy use or household air pollution: householdenergy@who.int
Regarding data or resources related to SDG 7 on energy access and health: sdg7@who.int